Números racionais. Mesturas e disolucións
5. Cuestionario de avaliación
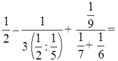
1. Calcule o resultado (usando a calculadora):
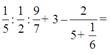
2. Calcule o resultado das operacións seguintes:
7. Que técnica usaría para separar?
Licenciado baixo a Licenza Creative Commons Recoñecemento Non-comercial Compartir igual 3.0

