4. Actividades complementarias
Fraccións e números decimais
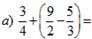
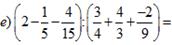
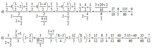
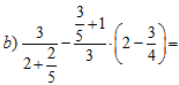
S24. Calcule e simplifique o resultado:





![]()
S25. A auga que hai nun encoro é as 3/4 partes da súa capacidade total. Coas chuvias do mes pasado a cantidade de auga aumentou en 1/2 do que faltaba para encher o encoro. Que fracción de auga hai no encoro agora? O mes no que andamos non choveu nada, e consumimos 1/5 da auga que contiña. Que fracción da capacidade total do encoro queda con auga?
S26. Nunha papelería hai 300 paquetes de follas DIN A4. O luns vendéronse 1/3 dos paquetes, o martes 1/2 dos paquetes que quedaban e o mércores 2/5 dos que quedaban. Cantos paquetes quedaron sen vender?
S27. Complete os ocos que faltan nas fraccións:
S28. Sinale cales das fraccións seguintes son reducibles e cales irredutibles:
![]()
S29. Represente na recta numérica o número racional 3/5.
S30. Ordene de menor a maior as fraccións seguintes, sen pasalas a decimais:
S31. Exprese mediante unha fracción a parte coloreada de cada figura:
S32. Clasifique os números seguintes en decimais exactos, decimais periódicos puros e decimais periódicos mixtos:
- 2,07565656...
- 897,432155555...
- 120,9
- -4,102102102...
S33. Na caixa de aforros temos gardados 250 euros. Calcule cantos euros son:
- 3/5 do aforrado.
- 3/2 do aforrado.
- 5/6 do aforrado.
S34. A empresa onde traballo deume un adianto da nómina equivalente aos 2/3 do meu soldo. Se me adiantou 600 euros, cal é o meu soldo mensual?
S35. No aniversario da miña sobriña regaláronlle unha bolsa de lambetadas. Na festa comemos os 2/3 delas, e aínda sobraron 20 lambetadas. Cantas tiña a bolsa inicialmente?
S36. Os tres oitavos do alumnado dun centro escolar vai en autobús ao colexio, e son 192. Cantos alumnos hai no colexio?
S37. Unhas amigas percorren un camiño. A primeira hora andan 1/3 do camiño, a segunda hora 4/15 e na terceira hora completan o percorrido. Se o camiño ten en total 1.050 m, canto andaron cada hora?
S38. Temos un barril de viño de 300 litros. Vendemos 2/3 do barril a dous euros o litro, 1/5 do resto a tres euros o litro e os que quedan a un euro. Canto diñeiro cobramos?
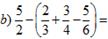
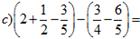
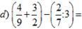
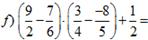
S39. Calcule a fracción resultante e, se é necesario, simplifique o resultado:
Mesturas
S40. Sinale cales das seguintes mesturas poden ser separadas mediante decantación: vinagre e auga; auga e alcohol; auga e aceite; aceite e vinagre
S41. Nunha planta de reciclaxe de lixo queremos separar os obxectos de ferro mesturados cos de plástico e papel. Que poderiamos facer para separalos?
S42. Ten unha mestura de auga salgada e aceite vexetal. Deseñe unha práctica de laboratorio para separar as tres substancias (auga, sal e aceite).
S43. Indique cal é o soluto e cal o disolvente nas disolucións seguintes:
- Mestura combustible para motos (gasolina + aceite).
- Aceiro (ferro + carbono).
- Alcohol de farmacia.
- Aire húmido.
S44. Un líquido transparente pardo quece ata que ferve. A temperatura de ebulición mantense constante no tempo mentres dura a ebulición. Trátase dunha disolución ou dunha substancia pura?
S45. Sinale cales das seguintes substancias son puras e cales mesturas: deterxente en po, refresco de cola, diamante, bronce, auga da billa, ouro e augardente.
S46. Que ocorrería se se arrefría unha disolución saturada de sulfato de cobre?
S47. Explique que métodos usaría para separar as substancias das mesturas que se citan: aceite, auga e sal; etanol, auga e azucre; area, vinagre e sal.
S48. Verdadeiro ou falso?
- Non se pode disolver un gas en auga.........................
- Nunha disolución acuosa o disolvente ten que ser auga..............................
- Todas as disolucións conteñen auga..........................
- O soluto disólvese, o disolvente non..........................
Concentración das disolucións
S49. Preparamos unha disolución disolvendo 40 g de cloruro potásico, KCl, en 300 gramos de auga, resultando 330 mL (mililitros) de disolución. Calcule:
a) A porcentaxe en masa da disolución.
b) A concentración da disolución expresada en g/L.
S50. A receita dunha macedonia de froitas precisa un xarope do 20 % en peso. Necesitamos 300 g do xarope.
a) Cantos gramos de azucre hai que empregar?
b) Cantos de auga?
S51. Razoe se son verdadeiras ou non as afirmacións seguintes, referidas todas a unha disolución acuosa do 20 % en masa:
- 200 g da disolución teñen 200 g de auga.
- En 500 g da disolución hai 100 g de soluto.
- Nun quilogramo da disolución hai 800 g de auga.
S52. Ache a concentración das disolucións A, B e C cos datos contidos na táboa seguinte en g/L e en porcentaxe en masa:
-
Disolución A
Disolución B
Disolución C
-
Masa do soluto
10 g
1.20 kg
0.7 kg
-
Masa do disolvente
590 g
30 kg
1 250 g
-
Volume da disolución
525 mL
12 L
1,25 L
-
S53. Unha botella de leite ten, na súa etiqueta, a información que recolle a imaxe, referida a 100 mL do leite.
- Exprese a concentración de proteínas, graxas e hidratos de carbono do leite en g/L.
- Cantos gramos de cada unha desas substancias inxire unha persoa que bebe 550mL de leite?
S54. Outra marca de leite informa que a súa concentración en graxas é de 0.030 mg/mL. Cal dos dous leites ten máis graxa na súa composición, este ou o do exercicio anterior?
S55. Unha botella de auga mineral ten a información que recolle a imaxe.
- En que unidades están expresadas as concentracións dos diferentes solutos?
- Por que di na etiqueta que está "indicada para alimentos infantís" Se non o sabe, procure información en internet ao respecto.
- Cantos gramos de calcio hai na botella enteira? E cantos de bicarbonato?
- Que significa "Residuo seco a 180 ºC"?
- Cantos gramos de magnesio (Mg) haberá nun m3 desta auga?
S56. Rosa e Manolo preparan o biberón para o seu Xelmiriño. Engádenlle seis culleradas de 3,6 g de leite en po a un biberón que contén 180 g de auga morna.
a) Que prepararon, unha mestura heteroxénea, homoxénea ou unha disolución? Necesita algunha outra información para poder contestar?
b) Xelmiriño tomou 160 g do biberón. Canto leite tomou?
S57. O grao alcohólico dunha bebida é a cantidade de alcohol etílico (etanol) que contén por cada 100 mL de bebida. Na etiqueta do brandy da figura indica que o seu grao alcohólico é do 38 %, e o volume da botella 70 cL.
- Cantos mililitros de alcohol hai na botella de brandy?
Licenciado baixo a Licenza Creative Commons Recoñecemento Non-comercial Compartir igual 3.0

