5.3 Actividades de reforzo [matemáticas]
S42. Escriba:
-
Tres fraccións cuxa razón sexa 3/2.
-
Tres parellas de números que estean en razón de 5 a 3.
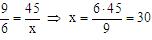
S43. Calcule x nas seguintes proporcións:

S44. Entre os seguintes pares de magnitudes, indique os que gardan unha relación de proporcionalidade directa, os que a gardan de proporcionalidade inversa e os que non gardan relación de proporcionalidade ningunha:
S45. Observe as tres táboas seguintes e razoe se son de proporcionalidade directa, inversa ou ningunha das dúa
S46. Complete a táboa de proporcionalidade directa. Cal é a razón de proporcionalidade
S47. Complete a seguinte táboa de proporcionalidade inversa:
S48. Dous quilogramos de peras custan 3,60 euros. Canto custarán 7 kg de peras?
S49. O dono dunha tenda paga 720 euros por un pedido de 15 caixas de aceite de oliva. Canto pagará por outro pedido do mesmo aceite de oito caixas?
S50. Unha pescada de dous quilos e trescentos gramos custoume 28,75 euros. Canto pagarei por outra pescada de quilo e medio?
S51. Unha ciclista percorre certa distancia en 3 horas indo a 20 km/h. Canto tardará en percorrer esa mesma distancia unha moto que vai a 60 km/h?
S52. Catro operarias tardan dez horas en arranxar un tellado. Canto tardarían seis operarias?
S53. Un albanel, traballando oito horas ao día, levanta un muro en 15 días. Cantas horas ao día debería traballar para o levantar en 12 días?
S54. Nunha empresa traballan 840 persoas. Se catro de cada cinco comen na empresa, cantas comidas se fan?
S55. Un tren, circulando a 90 km/h, fai o percorrido en seis horas. Se fose a 100 km/h, canto tardaría?
S56. Dous pobos están separados 8 cm nun mapa; na realidade están a 40 km de distancia. Outros dous pobos están separados 6 cm no mapa. A cantos quilómetros están en realidade un do outro?
S57. Calcule os xuros que produce, en cinco meses, un capital de 12.000 euros colocado ao 3 % anual.
S58. Hai que repartir un lote de 184 refrescos entre un grupo de amigos e amigas proporcionalmente ao número de horas que colaboraron en preparar a excursión de fin de curso. Alonso traballou 14 horas, Uxía 16, Tareixa 10 e Xan 6. Calcule cantos refrescos lle tocarán a cada amigo.
S59. Tres camareiros reparten 295 euros de propinas en partes inversamente proporcionais aos días que faltaron ao traballo cada un, que foron 7, 5 e 2 respectivamente. Determine cantos euros lle toca a cada camareiro na repartición.
S60. Calcule o capital que depositou nunha caixa de aforros ao 4,5 % anual se, logo dun ano, recibiu uns xuros de 225 euros.
Licenciado baixo a Licenza Creative Commons Recoñecemento Non-comercial Compartir igual 3.0