3.5 Aplicacións a vida cotiá
Para rematar esta unidade didáctica, resolvemos neste punto algúns tipos de problemas aritméticos relacionados coa proporcionalidade, como son as reparticións proporcionais e os xuros bancarios.
Reparticións directamente proporcionais
Imaxine que queremos repartir un premio de 60 euros entre tres estudantes en proporción directa á súa cualificación final de curso. Un alumno sacou un 7, outro un 8 e o terceiro un 5. Cantos euros lle tocarán a cada un?
Para resolver este tipo de problemas, aplicamos unha das propiedades das proporcións que nos di: “Nunha proporción, sempre, a razón entre a suma dos antecedentes e a suma dos consecuentes é igual a unha calquera das razóns”.
![]()

Agora, a partir desta última igualdade de fraccións resolvemos a proporción para x, logo para y e finalmente para z:
![]()
![]()
![]()
Reparticións inversamente proporcionais
Repartir unha cantidade N en partes inversamente proporcionais aos números a, b e c, equivale a repartir esa cantidade N en partes directamente proporcionais a 1/a, 1/b e 1/c respectivamente. Escribimos a proporción así:
Xuro bancario
Temos unha cantidade de diñeiro (10.000 euros) depositada nun banco a uns xuros (ou rédito) do 3 % anual. Isto significa que, pasado un ano, o banco nos dá de xuros:
Obviamente, nun mes daríanos a cantidade anterior dividida por 12.
Outro exemplo: calculemos os xuros que producen 1.800 euros a 4 % anual en 9 meses.
Calculamos primeiro o xuro anual:
Esta cantidade corresponde a 12 meses; xa que logo, a nove meses correspóndelle a parte proporcional:
![]()
Actividades resoltas
1. Hai que repartir un premio de 3.080 euros entre catro xogadores. Estes xogaron, respectivamente, 60, 40, 30 e 10 euros. Canto diñeiro lle tocará a cada xogador?
|
Solución |
|
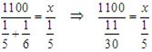
2.Queremos repartir 1.100 unidades en partes inversamente proporcionais aos números 5 e 6.
|
Solución |
|
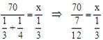
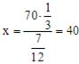
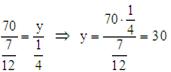
3.Reparta 70 bombóns de forma inversamente proporcional ás idades de Antía e Rodrigo que teñen, respectivamente 3 e 4 anos.
|
Solución |
A Antía tocaranlle 40 bombóns e a Rodrigo 30 bombóns |
4.Que xuros recibiremos por un investimento de 6.000 euros colocado ao 5 % anual, se o retiramos logo de catro meses?
|
Solución |
6000 . 5% = 300 euros anuais; en catro meses recibiremos a parte proporcional:
|
Licenciado baixo a Licenza Creative Commons Recoñecemento Non-comercial Compartir igual 3.0





