3.1 Razón e proporción de números
Razón
Unha razón é a división ou cociente entre dous números ou dúas cantidades comparables entre si.
Represéntase
, e lese "a é a b"
Os termos dunha razón chámanse antecedente e consecuente. O antecedente é o dividendo ou numerador, e o consecuente é o divisor ou denominador.
- Exemplo 1: nun concurso no que hai tres premios, participan 21 persoas. Podemos expresar matematicamente a relación anterior mediante unha razón entre o número de premios e o número de participantes, e queda:

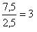
- Exemplo 2. Temos dous sacos de cemento; o saco grande pesa 7,5 kg e o pequeno pesa 2,5kg.
A razón entre a masa do saco grande e a do saco pequeno é , o que quere dicir que o saco grande ten tres veces a masa do pequeno.
Non debe confundir unha razón cunha fracción. Nos dous exemplos anteriores vemos como os termos antecedente e consecuente dunha razón poden ser números enteiros ou números decimais. Nunha fracción os seus termos ,numerador e denominador deben ser números enteiros.
Proporción
Unha proporción é una igualdade de dúas razóns.
Represéntase
, e lese "a é a b como c é a d"
Os termos dunha proporción : ![]()
![]()
Propiedades das proporcións
a) En toda proporción, o produto de medios é igual ao produto de extremos:
ó a.d = b.c
- b)Nunha proporción, sempre, a razón entre a suma dos antecedentes e a suma dos consecuentes é igual á unha calquera das razóns:
Exemplo:
Sexa a proporción
comprobemos como se cumpren as propiedades anteriores:
a) ó a.d = b.c é dicir 2.6 = 4.3; 2 = 12
b) é dicir
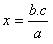
Cálculo dun termo descoñecido dunha proporción
Para calcular o termo descoñecido nunha proporción,coñecendo os outros tres, aplícase a propiedade:
Produto de medios = produto de extremos
A ese termo descoñecido chámaselle cuarto proporcional.
ó a.x=b.c ó
Observe que, considerando os catro elementos da proporción nos extremos dos brazos dunha aspa, podemos dicir que para calcular o termo descoñecido dunha proporción se multiplican os dous números coñecidos que forman un dos brazos da aspa e o resultado divídese polo terceiro número, emparellado coa incógnita no outro brazo.
Calcule o cuarto proporcional nas seguintes proporcións:
![]()
![]()
![]()
![]()
Licenciado baixo a Licenza Creative Commons Recoñecemento Non-comercial Compartir igual 3.0