4. Actividades complementarias
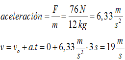
S29. Unha forza de 76 N actúa sobre un coro de 12 kg de masa inicialmente en repouso. Calcule:
- A aceleración que adquire o corpo.
- A velocidade que terá logo de tres segundos.
S30. Represente mediante vectores as forzas que actúan sobre os corpos e calcule a forza normal:
|
![]() |
|
![]() |
S31 Un coche de 950 kg arrinca en liña recta cunha aceleración de 1,7 m/s2.
- Que forza total actúa sobre el?
- E que forza actuará sobre o coche se a aceleración baixa á metade da anterior?
S32. Aplícaselle a mesma forza de 1 000 N a un coche de 1 000 kg e a un camión de 2 000 kg en sentido contrario ás súas velocidades.
- Que aceleración adquire cada un?
- Se os dous ían a 72 km/h, canto tempo tardarán en frear de todo?
S33 Un guindastre está subindo unha plataforma con ladrillos de 4 000 N de peso.
- Que forza fai o guindastre para subir os ladrillos con velocidade constante?
- E se os estivese baixando tamén con velocidade constante?
- E se a plataforma sobe cunha aceleración de 1,2 m/s2?
S34. Dous nenos están axudando a aprender a montar en bici a outro. Cada un tira dun lado do guiador con forzas que forman ángulo recto entre si; unha das forzas é de 15 N e a outra é de 20 N. Se a masa da bicicleta mais a do neno é de 50 kg, que aceleración adquiren?
S35. Un coche de 1 200 kg arrinca do repouso cunha aceleración de 3 m/s2 ata ter unha velocidade de 25 m/s. Mantén esta velocidade constante durante un tempo e logo frea ata reducir a súa velocidade a 16 m/s. A traxectoria é rectilínea.
- Que forza total actúa sobre o coche entanto que está acelerando?
- Que forza total hai sobre o automóbil mentres manteña a velocidade de 25 m/s?
- Canta forza total actúa sobre o vehículo entanto que vai freando?
S36. Unha persoa colle un carriño da compra baleiro. Para o levar así en liña recta e movemento uniforme nota que ten que facer unha forza de 12 N. Logo de encher o carriño, ten que facer unha forza de 22 N para que siga en movemento recto e velocidade constante.
- Cal é a forza total resultante sobre o carriño en ambos os casos?
- Canto vale a forza de rozamento entre o carriño e o chan cando vai baleiro? E cando vai cheo coa compra?
- Calcule o valor do coeficiente de rozamento sabendo que a masa do carro baleiro é de 4 kg. Por que o coeficiente de rozamento non ten unidades?
S37. Unha persoa de 80 kg aboia facendo o morto no mar. Que forzas actúan sobre esa persoa? Debúxeas. Cumpren esas dúas forzas a terceira lei de Newton?
S38. Unha motorista mais a súa moto teñen unha masa de 200 kg. Móvense cun MRU. A forza de rozamento contra o asfalto é de 100 N. Represente as forzas que actúan sobre a moto e calcule os valores que se piden.
- O peso da moto + motorista (conxuntamente).
- A forza normal.
- A forza que exerce o motor da moto.
S39. Unha patinadora de 60 kg exerce cos seus músculos unha forza motriz de 480 N cando se move pola pista de xeo en liña recta. Sabendo que a forza de rozamento é de 290 N, determine:
- O valor do seu peso e o da forza normal.
- A forza total que hai sobre a patinadora.
- A aceleración coa que se move a patinadora.
- Canto tempo tarda en ter, partindo do repouso, unha velocidade de 60 km/h?
S40. Un ciclista máis a súa bici teñen, en total, 80 kg. Móvese nunha estrada horizontal e deixa de pedalear coa fin de deterse.
- Calcule a aceleración coa que avanza se o coeficiente de rozamento é de 0.25.
- Canto tempo tardará en parar?
S41. Subimos un moble atado a unha corda. Se tiramos da corda cunha forza de 500 N resulta que o moble sobe cunha aceleración de 0,8 m/s2. Cales son a masa e o peso do moble?
Gravitación
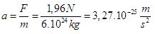
S42. A masa de Marte é de 6,37.1023 kg e o seu raio é 3,43.106 m.
- Calcule o valor da gravidade (g) na superficie de Marte.
- Calcule o peso dun corpo de 45 kg que estea alí.
- Con que aceleración cae en Marte un corpo de 3 kg? E un de 30 kg?
S43. Calcule a forza de atracción entre dous corpos de 60 e 56 kg respectivamente, cando están separados unha distancia de 29 cm.
S44. Que masa debería ter vostede para ser atraído cunha forza de 10 N por outra persoa de 60 kg separada de vostede 5 cm?
S45.Calcule:
- A forza coa que a Terra atrae a unha mazá de 200 g que está nunha maceira.
- Con que aceleración caerá a mazá cara á Terra.
- E con que aceleración subirá a Terra cara a mazá? (A masa da Terra é 6.1024 kg e o seu raio 6 371 km)
S48. A que altura sobre a Terra tería vostede que subir para que o seu peso fose a metade do normal? Cambiaría tamén a súa masa?
Presión e fluídos
S50. Sobre o émbolo maior dunha prensa hidráulica, de raio 22 cm, colócase un coche de 12 000 N de peso. Que forza haberá que facer no émbolo pequeno de raio 5 cm para levantar o coche?
S51. Os dous vasos teñen a mesma altura e a mesma sección no seu fondo.
![]() |
|
|
S52. Os muros dos encoros son máis largos na base que na parte superior. Por que se constrúen así?
S54. Exercemos unha forza de 10 N sobre un cravo. Se a superficie da súa cabeza é de 6 mm2 e a da punta 0,15 mm2, canta presión estamos a facer cando aplicamos a forza sobre un ou outro dos seus extremos?
S55. Calcule a presión exercida por cada unha das patas dunha mesa de 50 kg de masa, se cada pata é cadrada e ten unha aresta de 7 cm.
S56. O tapón dun depósito de auga ten 10 cm2 de superficie. O depósito ten auga ata unha altura de 3,3 metros. Con canta forza como mínimo temos que tirar do tapón para podelo sacar?
S57. Metemos un anaco de pedra en auga, primeiro a 1 m de profundidade e logo a 3 m.
- En cal das dúas posición soporta máis presión a pedra?
- En cal das dúas é maior o pulo que lle fai a auga cara a arriba?
S58. O peso dun corpo no aire é de 2 N, e metido dentro de auga semella ser de 1,6 N. Calcule o volume e a densidade do corpo.
![]() |
Licenciado baixo a Licenza Creative Commons Recoñecemento Non-comercial Compartir igual 3.0



