2.3.3 Sistemas hidráulicos. Principio de Pascal
Xa estudamos en unidades anteriores que os líquidos son practicamente incompresibles, é dicir, que o seu volume non diminúe cando se comprimen. E isto ten unha consecuencia: cando prememos nun líquido (cun émbolo, por exemplo) esta presión transmítese, molécula a molécula, a todos os demais puntos do líquido co mesmo valor. Comprobémolo:
Actividade práctica
Colla unha xiringa de plástico e fágalle varios buratos en diferentes sitios. Encha de auga a xiringa e comprima co émbolo. Verá que o líquido sae coa mesma velocidade por todos os buratos: a presión transmitiuse desde o émbolo ao resto do líquido.
Este resultado é o principio de Pascal (Blaise Pascal, 1623-1662): a presión exercida nun punto dun líquido transmítese co mesmo valor en todas direccións e a todos os demais puntos do líquido.
Ten moitísimas aplicacións en mecanismos hidráulicos. Están baseados case todos na prensa hidráulica. Son dous cilindros, normalmente de aceiro, conectados mediante un tubo, que contén un líquido non corrosivo (aceite usualmente).

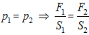
No émbolo pequeno faise unha forza F1 sobre unha superficie pequena S1, resultando unha presión sobre o líquido. Esta presión transmítese ata o outro émbolo ou pistón sen cambiar de valor, polo que:
E como S2 é maior que S1, daquela a forza F2 é maior que F1.

Noutras palabras, facendo unha forza pequena no émbolo pequeno obtemos unha forza grande no émbolo grande. Así xorden múltiples aplicacións: elevadores hidráulicos (coches nos talleres), freos, accionadores en escavadoras, transmisión de forzas nas ás dos avións...

Actividade resolta
Nun elevador hidráulico (prensa de Pascal) o émbolo maior mide 6,98 m2 de área e o menor 2,13 m2. Que forza hai que facer sobre o menor para poder levantar unha carga de 1 600 kg colocada enriba do émbolo maior?
Solución
Actividades propostas
S19. Sobre o émbolo do cilindro menor dun guindastre hidráulico faise unha forza de 10 000 N. Se o outro émbolo ten unha superficie catro veces maior, que peso podemos levantar nel?
S20. Cunha prensa de Pascal xa ve que podemos obter unha forza moi grande a partir doutra pequena, e isto é unha avantaxe. Pero hai unha desvantaxe. Cal é?
Licenciado baixo a Licenza Creative Commons Recoñecemento Non-comercial Compartir igual 3.0