Saltar navegación

4. Actividades complementarias

Actividades complementarias

Función lineal e función afín

S34. A función que permite calcular a temperatura en graos fahrenheit a partir da temperatura en graos celsius (graos centígrados) é: ºF = 32 + 1,8 ºC

  • a) Que tipo de función é?
  • b) Cal é a súa pendente? E a súa ordenada na orixe?
  • c) No verán, cando estamos a 30 ºC, canto marca un termómetro Fahrenheit.

S35. En relación coa gráfica:

 

  • a) Determine a pendente e a ordenada na orixe.

  • b) Escriba a expresión alxébrica da función.

  • c) Para que valor de x, y vale 15?

Ecuacións

S36. Resolva as ecuacións:

ecuacions

S37. Calcule que número hai que sumarlle a 37 para que dea 119.

Movementos

S38. Os datos da táboa corresponden ao avance dunha ave polo aire:

Tempo (s)

0

10

20

30

40

Espazo (m)

0

27

58

87

116

Calcule a distancia percorrida entre os instantes:

  • t = 10 s e t = 30 s

  • t = 20 s e t = 40 s

S39. Tres corredores compiten nuns xogos olímpicos. O primeiro percorre 10 km en 27 min e 40 s, o segundo percorre os 100 m lisos en 9,88 s e o terceiro percorre 1.500 m en 3 min 31 s. Cal deles é o máis veloz?

S40. Unha persoa camiña pola praia sobre a area seca. A gráfica s/t do seu movemento é a seguinte:

  • a) Cal é a súa velocidade?

  • b) Canto tardará en percorrer 100 m?

  • c) Se agora camiñase pola area mollada, como sería a gráfica do seu movemento? Debúxea aproximadamente nos eixes anteriores.

S41. André ve saír a súa filla Xiana da casa cara ao colexio e decátase de que non leva o bocadillo. Cólleo e sae correndo ata alcanzala, dálle o bocata e volve á casa, máis a modo.

a) Cal das gráficas se axusta ao movemento realizado?

b) Calcule a velocidade de Andrés na ida e na volta.

S42. Unha motorista móvese por unha estrada cunha velocidade constante de 89 km/h. Calcule cantos metros percorre en 8 minutos.

S43. Un móbil pasa pola orixe de coordenadas no instante inicial. Móvese cunha velocidade constante de 20 m/s. Represente a gráfica posición/tempo.

S44. Un automóbil circula por unha estrada. Cando o reloxo indica 5 min atópase na posición 30 km, e cando indica 30 min está na posición 70 km. Calcule a velocidade media do automóbil en km/h e en m/s.

S45. Outro automóbil que parte da posición s0 = 5 m percorre unha pista cunha velocidade constante de 20 m/s.

  • Escriba a ecuación do movemento e calcule a posición no instante t = 10 s.
  • Represente a gráfica s/t do movemento.

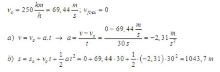
S46. Un avión toma terra cunha velocidade inicial de 250 km/h. Percorre a pista e frea completamente en 30 s.

  • Cal é a aceleración da freada?
  • Cantos metros percorre na pista?

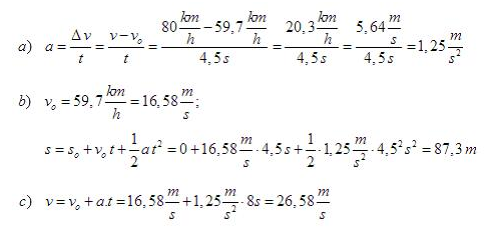
S47. Un móbil aumenta a súa velocidade desde 59,7 km/h ata 80 km/h en 4,5 segundos. Calcule:

  • A aceleración.
  • O espazo percorrido nos 4,5 segundos.
  • A velocidade que terá aos 8 s se segue coa mesma aceleración.

S48. Un móbil parte do repouso (v0 = 0). A táboa seguinte recolle as posicións en diferentes instantes:

Tempo (s)

0

1

2

3

4

Posición (m)

0

2

8

18

32

  • Debuxe a gráfica posición/tempo.

  • Calcule a aceleración do móbil, e a súa velocidade no instante t = 8 s

Licenciado baixo a Licenza Creative Commons Recoñecemento Non-comercial Compartir igual 3.0