2.3.6 Movemento rectilíneo uniformemente acelerado (MRUA)
Imos estudar só os movementos en que a aceleración sexa constante, que non cambie co tempo; a este tipo de movementos chamámolos uniformemente acelerados. A caída dunha pedra é un exemplo de movemento rectilíneo uniformemente acelerado (MRUA).
Despexándomos v da ecuación da aceleración obtemos a ecuación da velocidade:
|
Xa que logo, a velocidade final é igual á velocidade inicial mais o produto da aceleración polo tempo que dura o percorrido.
Como podemos calcular o espazo percorrido por un móbil cando ten aceleración? A dedución da ecuación é algo longa, así que a damos sen demostración:
|
Atención!: A ecuación do movemento uniforme, s = so + v.t , non se pode empregar nos movementos acelerados, xa que se obteñen resultados incorrectos.
Movemento rectilíneo uniformemente decelerado
Os movementos de freada son movementos decelerados. Neles, a aceleración considérase negativa, pois fai diminuír a velocidade, pero os cálculos fanse coas mesmas ecuacións do movemento uniformemente acelerado. A velocidade final neste tipo de movemento é cero.
Actividades resoltas
Un móbil parte do repouso (v0 = 0) e acelera durante 10 s cunha aceleración a = 4 m/s2. Cantos metros avanzou?
-
Solución
Como non hai indicación en contra, collemos s0 = 0

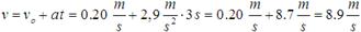
Unha vagoneta de montaña rusa móvese cunha v0=0,20 m/s. Cae costa abaixo cunha aceleración de 2,9 m/s2. Que velocidade ten logo de caer durante 3 s?
-
Solución

Un corpo móvese desde unha posición so = 2 m durante 4 s cunha aceleración de 5 m/s2. Se a velocidade inicial era de 20 m/s, cal é a súa posición final?
-
Solución
O condutor dun vehículo tarda en parar 5 s despois de frear cunha deceleración de 3 m/s2. Calcule a velocidade inicial do automóbil antes de comezar a frear e o espazo percorrido durante a freada.
-
Solución
A deceleración é unha aceleración negativa, polo que a = -3 m/s2.
A velocidade final é 0 m/s2.


Actividades propostas
S28. Unha moto vai a 70 km/h. Aumenta a súa velocidade ata 30 m/s en 5 s. Calcule:
- A aceleración
- O espazo percorrido neses cinco segundos.
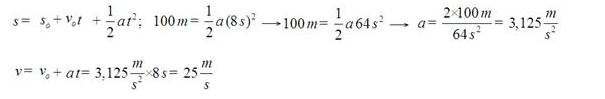
S29. Un corpo, partindo do repouso, percorre 100 m en 8 segundos. Cal é a súa aceleración? Canto vale a velocidade final?
S30. Cal é a aceleración de freada dun motorista que circula a 80 km/h e para a moto en 15 s? Canto vale o espazo percorrido nese intre?
S31. Un coche móvese a 120 km/h con movemento uniforme pola autoestrada. O condutor ve que a 200 m hai un accidente que impide o paso e frea. A aceleración de freada é de 6,5 m/s2. Tendo en conta que o tempo de reacción do condutor é de 0,75 segundos (neste tempo non frea aínda), conseguirá deterse antes de chegar ao obstáculo?
S32. Un tren entra nunha estación a 90 km/h e frea cunha aceleración a =-2,6 m/s2.
- Por que é negativo o signo da aceleración?
- Canto tempo tarda en se deter o tren?
- Cantos metros percorre na freada?
Licenciado baixo a Licenza Creative Commons Recoñecemento Non-comercial Compartir igual 3.0