2.3 Traballo
A palabra traballo utilízase moito na linguaxe habitual con diversos significados. Fíxese nas frases seguintes e os diferentes significados que lles podemos dar: ter traballo; ter que facer un traballo; vaia traballo!; un traballo ben feito; que traballos nos manda o Señor! A todos estes significados hai que engadirlles un: o que entendemos por traballo en ciencias. Ímolo ver.
Fíxese no corpo da figura. Facemos unha forza sobre el e movémolo unha distancia (e):
-

-
Traballo: chamámoslle desta maneira ao produto da forza feita polo espazo percorrido polo móbil

-
Úsase a letra W para o traballo porque a palabra equivalente en inglés é work. Se facemos unha forza de 1 newton e o corpo se move 1 metro, facemos un traballo de 1 joule:
Así que a unidade de traballo é exactamente a mesma que a unidade de enerxía, aínda que traballo e enerxía non sexan o mesmo; lembre entón que:
1 J = 1 N.m
E que ocorre se a forza non ten a mesma dirección que o desprazamento do corpo? Observe na figura seguinte:
A definición anterior non nos vale; temos que descompoñer a forza F en dúas compoñentes, unha coa dirección do desprazamento e outra perpendicular:
A compoñente perpendicular ao movemento non axuda (nin prexudica) o avance do corpo, así que en física dicimos que non fai traballo: as forzas perpendiculares á traxectoria non traballan. A outra compoñente da forza é a forza útil, que si vale para desprazar o corpo: é a parte da forza que si traballa.
Por iso definimos o traballo máis precisamente como:
Se
é o ángulo que forma a forza F coa dirección do movemento, a trigonometría permítenos calcular facilmente a compoñente útil da forza:
![]()
Se aínda non sabe trigonometría, non se preocupe: as calculadoras permiten saber o coseno dun ángulo directamente, premendo na tecla cos.
Substituíndo o anterior na fórmula inicial do traballo, quédanos finalmente:
sendo F a forza total que facemos sobre o corpo, e o espazo percorrido e
o ángulo entre a forza e o desprazamento.
Se facemos forza pero o corpo non se move, o espazo vale cero (e = 0) e non hai traballo. Se empurramos unha parede con toda a nosa forza, non traballamos nada, porque a parede non se move! Os nosos músculos cansan de facer forza, aínda que non traballemos. Do mesmo xeito, se estamos dúas horas termando dunha pesada maleta sen movela, tampouco traballamos nada.
De xeito análogo, un corpo pode moverse sen que se lle faga forza (lembre a 1ª lei da dinámica). Neste caso tampouco hai traballo: se non hai forza, F = 0 e non hai traballo.
Hai un terceiro caso bastante curioso, que xa o comentamos: se a forza que se fai sobre o corpo é perpendicular ao traxecto, entón non traballa. Isto é así porque cos 90º = 0 (pode comprobalo coa calculadora). Por exemplo, se leva a maleta colgando do brazo ao longo dun corredor horizontal, non traballa! Fíxese no esquema da figura:
A forza tira da maleta verticalmente cara arriba, e o desprazamento da maleta é horizontal: forman 90º e, polo tanto, a forza non fai traballo. Isto pode parecer absurdo a primeira vista, pero é razoable se pensamos en termos enerxéticos, como faremos máis adiante.
Por último, pode ocorrer que o ángulo entre a forza e o desprazamento sexa maior que 90º (ángulo obtuso). Daquela o coseno dese ángulo é negativo (compróbeo coa calculadora) e o traballo resulta negativo. É lóxico, pense que esa forza tira cara a atrás do corpo e está a dificultar o seu avance.
Relación entre traballo e enerxía
Anteriormente dixemos que o traballo e a enerxía se miden coa mesma unidade, pero que non son o mesmo. Aclaremos isto.
O traballo é unha acción: só existe entanto que se estea a facer, é dicir, mentres facemos a forza e se move o corpo. Non se pode gardar nin almacenar un traballo, non ten sentido (como tampouco se pode gardar un paseo, por exemplo, xa que é unha acción). A enerxía si que é almacenable: unha lata con gasolina ten enerxía química almacenada e pode estar así anos; unha rocha no alto dun monte ten enerxía potencial almacenada.
Pero si que hai unha conexión entre o traballo e a enerxía: o traballo feito sobre un corpo aumenta ou diminúe a súa enerxía. Ou dito doutra forma, o traballo é un dos mecanismos para transferir enerxía (o outro é a calor).
Vexamos uns exemplos:
-
O motor fai forza sobre un coche, e a forza traballo; este traballo invístese en aumentar a enerxía cinética do automóbil.
-
Un guindastre levanta unha peza de ferro. O traballo feito pola máquina aumenta a enerxía potencial da peza.
-
Unha manivela move unha dínamo. O traballo feito pola nosa man sobre a manivela transfórmase en enerxía eléctrica.
-
Unha caixa é arrastrada polo chan. O traballo feito pola forza de rozamento transfórmase en enerxía calorífica.
Así que o traballo se transforma en enerxía. Pero tamén é certo o contrario: a enerxía pode transformarse en traballo. Exemplos:
-
A enerxía eléctrica úsase nun motor para facer o traballo de elevar unha carga.
-
A enerxía química do biodiésel úsase para que o motor dun camión faga o traballo de subir unha costa.
-
A enerxía potencial elástica acumulada nun resorte comprimido emprégase para disparar un proxectil contra unha peza de madeira e perforala, o que require facer un traballo sobre a madeira.
En definitiva, podemos escribir que:

É dicir: o traballo invístese en variar a enerxía dun corpo.
Actividades resoltas
Calculemos o traballo se a forza vale 400 N, o espazo percorrido tres metros e o ángulo entre a forza e o percorrido 40º.
-
Solución

Empurramos un coche que non arrinca cunha forza de 500 N ao longo de catro metros. Canto traballo fixemos?
-
Solución
W = F.e. cos 0º = 500 N. 4 m. 1 = 2 000 J
Unha persoa levanta unha caixa de 4 kg desde o chan ata unha altura de 1,77 metros.
-
-
Canto traballo fai?
-
Canto traballo fai a forza gravitacional da Terra?
-
Como son eses dous traballos?
-
-
Solución
W = F.e. cos 0º = peso. e. cos 0º = 39,2 N. 1,77 m. 1 = 69,38 J
A caixa sobe e a forza que lle fai a Terra diríxese cara a abaixo; daquela o ángulo entre a forza e o espazo percorrido é 180º. Entón W = F.e. cos
º =39,2 N. 1,77 m. cos 180º = -69,38 JSon iguais e de signos contrarios
Actividades propostas
S17. Se sobre un corpo actúan varias forzas, cada unha fai o seu propio traballo. O traballo total efectuado sobre o obxecto é a suma dos traballos individuais.
| Sobre a caixa de froita da figura, de 20 kg de masa, actúan as forzas que mostra a figura. A caixa avanza sobre o chan unha distancia de 15 metros. A forza de 100 N está inclinada 45º. |
|
Ache o peso e a forza normal (ollo, neste caso non vale o mesmo que o peso)
Calcule o traballo que fai cada unha das forzas.
S18. Un rapaz fai unha forza de 40 N para levantar unha peza a catro metros de altura con velocidade constante.
-
Canto traballo fixo?
-
Canto aumentou a enerxía potencial da peza?
-
Cúmprese que o traballo feito é igual ao aumento de enerxía potencial da peza?
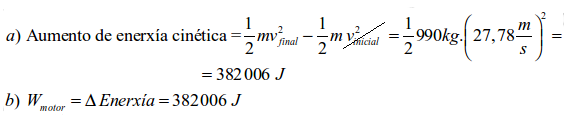
S19. Un coche de 990 kg que estaba parado arranca e aumenta a súa velocidade ata alcanzar os 100 km/h.
-
Canto aumentou a súa enerxía cinética?
-
Canto traballo fixo o motor do coche?
Licenciado baixo a Licenza Creative Commons Recoñecemento Non-comercial Compartir igual 3.0




