Saltar navegación

5. Exercicios de autoavaliación

 

Pregunta

1. A parábola y = 3x2 + 6x:

Respostas

Non pasa pola orixe de coordenadas.

Ten o vértice en xv = - 1.

É aberta cara a abaixo.

Pregunta

2. A parábola y = - 2x2 + 3:

Respostas

Pasa polo punto (0, 3).

Ten o vértice no punto (3, 1).

Pasa pola orixe de coordenadas.

Pregunta

3. As solucións da ecuación x2 - 8x + 15 = 0 son:

Respostas

3 e 5

-1 e 6

4 e 0

Pregunta

4. As solucións da ecuación 3x2 + 6x = 0 son:

Respostas

0 e 1

3 e 8

0 e -2

Pregunta

5. Das vilas A e B, distantes 132 km, saen ao mesmo tempo dous ciclistas en sentidos contrarios pola mesma estrada. O que sae de A vai a 19 km/h, e o que sae de B vai a 14 km/h. A que distancia de A se atoparán? En canto tempo?

Respostas

70 km, 4 h

70 km, 5 h

76 km, 4h

76 km, 5h

Pregunta

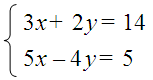
6. A solución do sistema é:

Respostas

x=2, y=5

x=3, y=5/2

x=3/5, y=2/5

Pregunta

7. Resolva graficamente o sistema de ecuacións

 

 

 

 

x

y

x

y

 

 

 

 

 

 

 

 

 

 

 

 

 

 

 

 

 

Respostas

Pregunta

8. O cociente de dous números é 3/4. Se se suma 10 a cada un deles, o seu cociente é 11/14. Eses números son:

Respostas

30 e 40

45 e 40

45 e 60

Pregunta

9. A suma dun número máis o seu inverso é 37/6. Este número é:

Respostas

Pregunta

10. A idade de Xosefa era hai seis anos a raíz cadrada da idade que terá dentro de seis anos. Cantos anos ten Xosefa hoxe?

Respostas

Habilitar JavaScript

Licenciado baixo a Licenza Creative Commons Recoñecemento Non-comercial Compartir igual 3.0