Saltar navegación

2.1.3 Gráfica da función cuadrática completa y = ax2 + bx + c

Representemos graficamente a seguinte parábola: y = x2 + 2x - 3:



y = x2 + 2x - 3

 

x

y

- 3

0

- 2

- 3

- 1

- 4

0

-3

1

0

2

5

3

12

 

Como a > 0, a parábola é convexa (aberta cara a arriba).

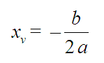
Pode demostrarse que, para calquera parábola, a coordenada x do vértice vén dada pola expresión:

 

Isto quere dicir que se a e b teñen o mesmo signo, o eixe de simetría da parábola e o vértice estarán desprazados cara á esquerda do eixe OY (como no exemplo anterior), e se teñen signos contrarios estarán desprazados cara á dereita. O parámetro c xoga o mesmo papel de subir ou baixar a gráfica que xa vimos antes.

Para representarmos unha parábola convén calcularmos primeiro a posición do seu vértice, e logo completar a táboa de valores x-y dándolle a x valores simétricos respecto de xv.

 

S4.            Calcule as coordenadas do vértice das parábolas:

y = x2 - 8

y = x2- x + 5

y = 1/2 x2 - 4x + 1

y = - x2 - 2x + 4

y = 3x2 + 6x - 1

 

S5.           Represente graficamente as funcións cuadráticas seguintes: y = x2 - 9x;

y = x2 - 6x + 1; y = x2 – 2.

 

S6.            Sen debuxar a gráfica, determine se o eixe de simetría e o vértice das parábolas están á esquerda ou á dereita do eixe OY: y = x2- 3x + 5; y = x2 - 4x.

Licenciado baixo a Licenza Creative Commons Recoñecemento Non-comercial Compartir igual 3.0