Saltar navegación

2.1 A función cuadrática

As funcións cuadráticas son as que se expresan mediante un polinomio de grao 2:

y = ax2 + bx + c (con a ≠ 0).

A gráfica dunha función cuadrática é sempre unha parábola.

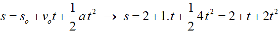
Vexámolo cun exemplo:

Un móbil parte da posición so = 2 m con velocidade inicial vo = 1 m/s e aceleración a = 4 m/s2. Debuxe a súa gráfica s/t (posición/tempo).

Solución:



s = 2 + t + 2 t2

 

t

s

0

2

1

5

2

12

3

23

4

38

5

57



A gráfica obtida é unha parábola (exactamente un arco de parábola).

A función cuadrática máis sinxela é y = x2. Vexamos a súa gráfica:

 



y = x2

 

x

y

- 3

9

- 2

4

- 1

1

0

0

1

1

2

4

3

9

 

Na gráfica anterior observamos:

  • O punto máis baixo da curva é, neste caso, o punto de coordenadas (0, 0). A este punto máis baixo chámaselle vértice da parábola.

  • A curva é simétrica respecto do eixe OY.

  • A función é decrecente para valores de x menores que cero (x < 0) e crecente para valores positivos de x (x > 0).

  • A curva é convexa: está aberta cara arriba (ten forma de V).

 

Utiliza o applet das funcións cuadráticas para realizar as actividades correspondentes

Compartida por albagar89  - LicenciaCC-BY-SAGeoGebra Terms of Use

Licenciado baixo a Licenza Creative Commons Recoñecemento Non-comercial Compartir igual 3.0