Saltar navegación

2.2.2 Número de solucións dunha ecuación de segundo grao

Unha ecuación de segundo grao pode ter dúas solucións, unha ou ningunha, e iso depende do valor do discriminante, a expresión b2 - 4ac, que é a parte vermella que está dentro da raíz cadrada na ecuación:

Se o discriminante é positivo, b2 - 4ac > 0, a ecuación ten dúas solucións distintas; se o discriminante vale cero a ecuación ten unha solución (ou dúas de igual valor, que vén sendo o mesmo); e se o discriminante é negativo, b2 - 4ac < 0, a raíz cadrada non se pode calcular (con números reais) e a ecuación non ten ningunha solución.

  • Exemplos.

    • A ecuación x2 + 3x + 10 = 0 non ten ningunha solución, porque:

    • A ecuación 2x2 + 12x + 18 = 0 ten unha soa solución, porque:

A solución única x = - 3 tamén se chama solución dobre.

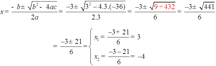
    • A ecuación 3x2 + 3x - 36 = 0 ten dúas solucións distintas:

 

S8.            Determine, coa axuda do discriminante, cantas solucións ten cada ecuación:

3x2 - 6x + 3 = 0

x2 + x - 3 = 0

x2 + x + 3 = 0

-x2 - 2x - 3 = 0

2x2 + 5x + 1 = 0

Licenciado baixo a Licenza Creative Commons Recoñecemento Non-comercial Compartir igual 3.0