3.2.2 Resolución de ecuacións con denominadores
Cando hai denominadores numéricos transformamos as fraccións noutras equivalentes que teñan todas igual denominador, usando o mínimo común múltiplo dos denominadores das fraccións. Observe como se fai no exemplo seguinte.
Pomos denominador 12 a todas as fraccións e compensamos os numeradores (números en vermello):
Multiplicamos os dous membros por 12 para eliminarmos os denominadores:
A solución da ecuación é x = 6. Podémolo comprobar substituíndo x = 6 na ecuación orixinal:
Primeiro membro:

Segundo membro: 6 – 7 = -1
Os dous membros dan igual, logo a ecuación está ben resolta.
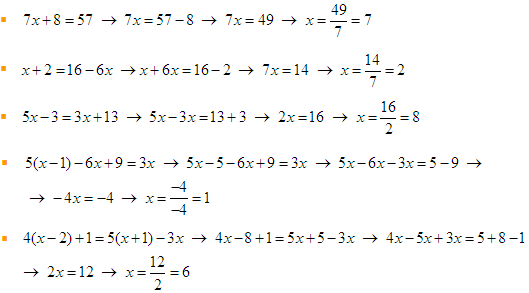
Resolvemos as ecuacións seguintes:


Achamos as solucións das seguintes ecuacións

Licenciado baixo a Licenza Creative Commons Recoñecemento Non-comercial Compartir igual 3.0