EXTENSIÓN DO TEOREMA DE PITÁGORAS |
|
|
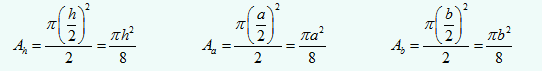
A área de calquera figura construída sobre a hipotenusa é igual á suma das áreas das figuras semellantes a ela construídas sobre os catetos. De xeito particular esta afirmación cumplese para polígonos regulares e círculos. Demostración para o caso da figura A área dos círculos de diámetros cada un dos lados do triángulo rectángulo é |
|
Sumando Aa e Ab |
|
|
Aa + Ab =
πa28 + πb28 = π8 (a2 + b2)
|
|
|
Pero como sabemos que a2 + b2 = h2 podemos escribir
Aa + Ab =
π8 h2
|