4 Actividades complementarias
S15. Exprese como potencia.
|
|
|
|
|
|
|
|
|
|
|
|
S16. Opere e calcule o seu valor.
|
|
|
|
|
|
|
|
|
|
|
|
|
|
S17. O raio dun átomo mide 10-10 metros, aproximadamente. Se puideramos colocar átomos un deseguido de outro formando unha recta, cantos cumprirían para cubrirmos unha lonxitude dun milímetro?
S18. Unha leira rectangular ten de dimensións 4,3 ·103 x 8,5 · 102 metros respectivamente. Se en cada metro cadrado nacen aproximadamente 3,6 · 102 flores, cantas flores producirá a leira?
S19. O raio do universo coñecido estímase en 15 000 millóns de anos luz. Se un ano luz equivale a 9,46 · 1012 quilómetros, canto mide aproximadamente o raio do universo en quilómetros?
S20. Un gandeiro comprou un terreo cadrado de 1 600 m2. Quere cercalo con tres voltas de arame, cantos metros debe mercar?
S21. A raíz cadrada dun número positivo ten dous valores. Cando escribimos √4 referímonos á raíz negativa. É dicir, √4 = -2. Cal é o valor das seguintes expresións?
- √ 64 - √1 √ 4 √-16
S22. Escriba un documento en que aparezan os datos da súa aula, a situación, as dimensións e o número de alumnos/as. Gárdeo nun cartafol no disco ríxido e déalle un nome.
S23. Faga unha táboa cos horarios de clase. Gárdea e déalle un nome, no mesmo cartafol anterior.
S24. Abra un documento de Word e pegue nel os dous documentos anteriores, para os gardar con outro nome.
S25. Garde o novo documento nunha unidade externa.
S26. Se ten conta de correo, envíelle o documento a un compañeiro ou a unha compañeira.
S27. Escribe en notación científica os seguintes números:
-
95.000.000.000.000.000.000
-
1.983.000.000.000.000.000.000.000.000.000
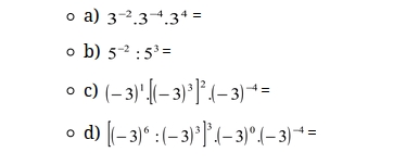
S28. Opere e calcule o seu valor:
-
a) 2-2. 2-3. 2-4 =
-
b) 2-2 : 23 =
-
c) [ (-2)-2 ]3. (-2)3. (-2)-4=
-
d) [ (-2)6 : (-2)3 ]3. (-2) . (-2)-4 =
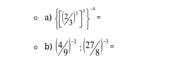
S29. Opere e calcule o seu valor.

S30. Opere e calcule o seu valor.

Licenciado baixo a Licenza Creative Commons Recoñecemento Non-comercial Compartir igual 3.0












