Capítulo 3

Habiendo superado el ecuador de tu formación te habrás dado cuenta ya de la importancia del álgebra en este "mundillo".
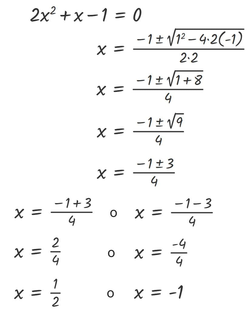
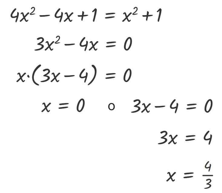
En este capítulo profundizaremos en las ecuaciones de 2º grado, aquellas en las que la incógnita aparece elevada al cuadrado.
Esto será una herramienta más en tu arsenal de detective. Te permitirá abrir nuevas vías en tus investigaciones y comprender que puede existir más de una solución para el mismo problema en función del contexto.
¿Serás capaz de encontrar todas las soluciones?
Lectura facilitada
En este capítulo profundizaremos en las ecuaciones de 2º grado.
Esto será una herramienta más en tu arsenal de detective.
¿Serás capaz de encontrar todas las soluciones?


