A forza da gravidade
Despois de que Kepler coas súas leis permitiu coñecer o movemento dos astros, quedaba comprender o por que de dito movemento. O científico británico Isaac Newton (1642-1727) deduciu que, dito movemento era consecuencia da atracción do Sol sobre eles.
Por exemplo, a Terra exerce unha forza gravitatoria sobre a Lúa e a atrae, pero a Lúa non cae sobre a Terra debido ó seu movemento arredor do noso planeta.
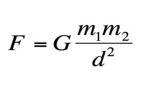
Todos os corpos se atraen, cunha forza directamente proporcional ás súas masas e inversamente proporcional ao cadrado da distancia que os separa:

