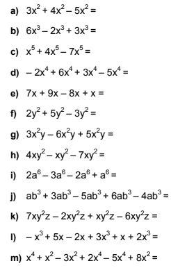
2. Suma os seguintes monomios semellantes a) 2x2 b) 7x2 c) -2x5 d) 2x4 e) 9x f) 4y2 g) 2x2y h) -4xy2 i) -2a6 j) ab3 k) -xy2z l) 8x3 m) -2x4 +6x2
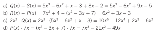
3. Opera: 2x²y³z + 3x²y³z = 2x³ − 5x³ = 3x4 − 2x4 + 7x4 = 2a²bc³ − 5a²bc³ + 3a²bc³ − 2 a²bc³ = (2+3) x2y3z = 5x2y3z (2-5)x3 = -3x3 (3 − 2 + 7)x4=8x4 (2 − 5 + 3 − 2)a2bc3=−2a2bc3
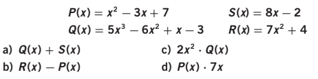
4. Resolve 1) -9x - 3x = 2) 4x + 3 - 2x +1 =3) 7x -10x + x =4) -7x + 3x - 9x =5) 3x2 - 3 - 12x2 + 2 = 6) x2 + 2x2 + 10x -19x -8 +3 =7) -5x3 -7 - 3x3 +3 =8) 15x - 4x + 8x - 6 - 13 =9) -x4 + 19x4 - 15x4 =10 ) -2x3 + 4x3 - 10x - 11 = 1) -9x - 3x = -12x2) 4x + 3 - 2x +1 = 2x + 43) 7x -10x + x = -2x4) -7x + 3x - 9x = -13x5) 3x2 - 3 - 12x2 + 2 = -9x2 - 16) x2 + 2x2 + 10x -19x -8 +3 = 3x2 - 9x - 57) -5x3 -7 - 3x3 +3 = -8x3 -48) 15x - 4x + 8x - 6 - 13 = 19x - 199) -x4 + 19x4 - 15x4 = 3x410 ) -2x3 + 4x3 - 10x - 11 = 2x3 -10x -11