1. Opera cos seguintes polinomios:

a) (P(x) -R (x)) . 2x
b) (R(x) - Q (x)) . (-x2)

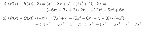
1. Opera cos seguintes polinomios:

a) (P(x) -R (x)) . 2x
b) (R(x) - Q (x)) . (-x2)

2. Realiza as operacións
a) (6x2 − 8x + 3) ⋅ (3x − 1)
b) (−x3 + 4x2 − 5) ⋅ (−x − 1)
c) (18x5 − 10x4 + 6x2) : −2x
d) (12x4 − 24x3 + x2) : 3x2
e) (x2 + x + 1) ⋅ (x − 1)
a) 18x3 − 30x2 + 17x − 3
b) x4 − 3x3 − 4x2 + 5x + 5
c) −9x4 + 5x3 − 3x
d) 4x2 − 8x + 1/3
e) x3 − 1
3. Opera e reduce
a) 12x ⋅ 3x2 : x + 14x ⋅ x3 : 7x2
b) 16x ⋅ x3 : (−4) + 9x5 : x4 ⋅ (−3x3)
c) 3x2 ⋅ (10 ⋅ 5x3) − 10x4 ⋅ 6x2 : 2x
d) (5x2 − 2x2 + 7x2) ⋅ (4x3 − x3 + 6x3)
e) (−4xy2 + 9xy2) : (3xy + 2xy)
f) (x3 − 8x3 + 4x3) ⋅ (y − 3y + 5y)
a) 38x2
b) −31x4
c) 120x5
d) 90x5
e) y
f) −12x3y
4. Efectúa as seguintes operacións
a) (3x + 4) ⋅ 2
b) (x − 2) ⋅ 4x
c) (4x2 + x − 2) ⋅ (−5)
d) (x2 + 3x − 6) ⋅ (−3x3)
a) 6x + 8
b) 4x2 − 8x
c) −20x2 − 5x + 10
d) −3x5 − 9x4 + 18x3
BY-NC-SA