![]() |
Relaciones métricas en el triángulo rectángulo |
| Geometría | |
| 1. PROYECCIONES | ||
| Dado un punto P y una recta r, se llama proyección del punto P sobre la recta r al punto P', pie de la perpendicular trazada desde P a r. Proyección del segmento AB es el segmento A'B' cuyos extremos son las proyecciones de los extremos A y B. | ||
|
||
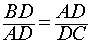
| 2. Teorema de la altura | ||
| En un triángulo rectángulo, la altura trazada sobre la hipotenusa es media proporcional entre las dos partes en que divide a ésta. En el triángulo rectángulo de la escena ABC se ha trazado la altura AD sobre la hipotenusa BC, cumpliéndose para cualquier triángulo rectángulo la igualdad: |
|
|
2.-Mueve el punto de control A y observa cómo varían los valores de los segmentos AD, BD y DC pero se mantienen iguales entre sí, los cocientes BD/AD y AD/DC. 3.- Modifica el valor de la hipotenusa y mueve el punto A para obtener otros triángulos rectángulos.
|
||
| 4.- Dibuja en tu cuaderno un triángulo rectángulo de lados 10, 8 y 6, traza la altura sobre la hipotenusa y comprueba que se cumple el teorema de la altura. Contrasta los valores con los de la escena Descartes. |
| 3. Teorema deL CATETO | ||
| En un triángulo rectángulo cada cateto es media proporcional entre la hipotenusa y su proyección sobre ella. Como en el caso anterior, la altura trazada sobre la hipotenusa divide al triángulo en otros dos semejantes y se cumplen las igualdades siguientes: |
|
|
|
|
5.- Si la altura sobre la hipotenusa de un triángulo rectángulo divide a ésta en dos segmentos de medidas 7 y 4, aplica el teorema del cateto para hallar los valores de cada uno de los catetos. 6.- Comprueba en la escena los valores calculados. |
|
| 7.- Halla el área de dicho triángulo. |
| Miguel García Reyes | ||
![]() |
||
| © Ministerio de Educación. Año 2001 | ||

Los contenidos de esta unidad didáctica están bajo una licencia de Creative Commons si no se indica lo contrario.